
晋城地处太行山南麓,历史厚重、人杰地灵,是华夏文明的重要发源地之一。当你穿梭于晋城的街巷游园时,是否了解它们名字背后的古老动人故事?当你驻足晋城的山川村落时,那些镌刻在路口、牌坊、地图上的名字,是否曾引起你片刻的好奇?地名如镜,映照过往,更烛照前程。值此晋城建市40周年之际,8月5日起,晋城市民政局特别推出《地名里的晋城》系列地名文化推文,带你探寻晋城那些看似寻常的地名背后,所蕴含的地理变迁、历史沉浮与人文积淀。透过晋城地名的文化符号,一起了解晋城,感知晋城,爱上晋城!
传说,神农炎帝在此山尝百草、得嘉禾,奠定了华夏农耕文明的根基,而山的名字,却来源于一尊看似朴拙的石雕羊头。为何是“羊”?是图腾?是献祭?还是一个被时光加密的古老密码?
在村名里遇见晋城,今天走进——高平羊头山。
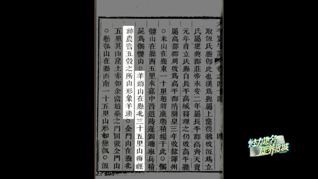
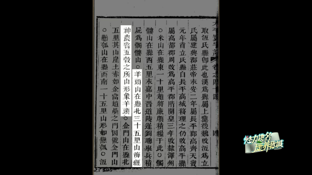
羊头山,亦名首阳山。位于高平市神农镇境内,距离高平市区15公里,它横跨两市三县,素有“鸡鸣一声听三县”之说。山之西北面为长治市长子县,东北为上党区,南侧为高平市(县),是高平与长子县上党区的界山,方圆十几里,海拔1297米。



关于羊头山名字的由来,历来有两种说法,一说山形似羊头,一说山上有巨石像羊头。传说神农炎帝曾在此山上尝百草、播五谷,开创了中国农耕文化的先河,山上还有从北魏至隋唐时期,开凿的石窟造像、摩崖佛龛等,为这座历史文化名山,增加了更多的厚重感和神秘色彩。

▲羊头山广场
据北宋《太平寰宇记》曰:“羊头山在县北三十五里”……“神农尝五谷之所,上有神农城,下有神农泉。”

分析发现,早期的记载偏向于“山形像羊头”,晚期的记载偏向于山上有大石头形状如羊头,羊头山上现在留存的羊头形巨石,约为北魏时期镌造,因为当时的少数民族图腾崇拜为羊,所以才在山顶雕凿了一只石羊以祈福,自从山顶上有了石羊以后,才产生了“山顶有巨石形状如羊头”的说法,所以,我们完全可以肯定羊头山的名称,最开始是以“山形似羊头”而得名,北魏以后,因山顶上有了镌刻的石羊,才产生了以石羊得名羊头山的说法。

▲羊头山石塔羊头造像
2015年,山西省文物考古专家在羊头山,发现了一处仰韶文化遗址,在现场发现了大量的陶片、瓦砾,而这些文物也证明了在距今5000年左右的时间,羊头山就有古人类生活,这和传说中炎帝生活的时间相吻合。
此记可作为炎帝神农氏在远古时活动于羊头山之佐证,虽然不知神农城毁于何时,但现今石柱,水井和石井架依然存在,这些珍贵的古遗迹给后人留下了无限的遐想。



▲羊头山石窟群
羊头山有丰富的文化资源,如石窟造像、炎帝生活的遗址遗迹,古寺庙、传说故事等等,最著名的当属石窟文化和炎帝文化,石窟位于羊头山山腰,共有10个造像区,开凿年代北魏至隋唐,共有40多个洞窟和多处摩崖佛龛,还有造像碑、造像塔、石塔等文物,是晋城市规模最大的石窟造像群。2006年,羊头山石窟被列入了国家级重点文物保护单位,山上还有神农城、神农井、神农泉、五谷畦等炎帝生活的遗址遗迹。另外,羊头山还流传着,有关炎帝的故事还有很多很多,包括育嘉禾、祈雨、嫁女、祭星等等。

▲炎帝陵
羊头山主峰高耸,山峦秀丽,松林茂盛,古柏参天。长期以来,以秀丽的风景和丰富的文化遗存吸引着各方游客,2016年以来至今,炎帝陵活动已经连续十年举行祭祖大典,极大的带动了高平旅游业大发展,2022年入选省级“著名自然地理实体地名”。